Generated Submodule
Since the intersection of an arbitrary family of submodules of M is a submodule, we have the concept of a submodule generated by a subset.
Definition.
Given any subset
, let
denote the set of all submodules of M containing S. Note that
is non-empty since
. Now, the submodule of M generated by S is:
This is the “smallest submodule of M containing S“; to be precise, (a) it is a submodule of M containing S, and (b) any submodule N of M containing S must also contain (S). With this, we see that given a family of submodules , the sum
is simply the submodule of M generated by their union
.
Now (S) has a very simple description.
Lemma 1.
For any subset S of M, the submodule
consists of the set of all finite linear combinations
Thus we may sometimes call (S) the span of S (over the base ring A).
Definition.
A module M is said to be finitely generated (or just finite) if
for some finite subset S of M.
A finitely generated ideal is an ideal which is finitely generated as an A-module.
It is not true that every submodule of a finitely generated module must be finitely generated. In fact, there exist rings with ideals which are not finitely generated, so this gives where A = (1) is finitely generated but
is not.
E.g. let ; more explicitly
Let be the set of all sums with only positive
. This ideal is not finitely generated, since any finite subset
is contained in
for some n > 0 so
lies outside (S).

Linear Dependence
Note that if is a finite subset, there is a unique A-linear
In fact, such a map exists for any finite sequence , i.e. some of the elements may repeat.
This map is surjective if and only if S generates M. Thus M is finitely generated if and only if there is a surjective A-linear map for some n > 0. When is f injective?
Proposition 1.
Let
and f be as above; f is injective if and only if:
- for any
, if
, then all
.
When that happens, we say that
are linearly independent.
Proof. Easy exercise. ♦
We make two important definitions here, inherited from linear algebra.
Definition.
- If S is linearly independent and generates M, we say that S is a basis.
- We say M is finite free if it has a finite subset which is a basis.
- The rank of a finite free M is the size of S for any basis
.
Note: the zero module is a free module of rank zero since generates M.
Subtle question: is the rank well-defined? In other words, if finite subsets are both bases, must we have
? This question will be answered a few articles later.

Two More Isomorphism Theorems
Just like the case of group theory, we have the following.
Theorem.
Let M be any A-module.
- (Second Isomorphism Theorem) For any submodules
we have
- (Third Isomorphism Theorem) If we have submodules
, then treating
as a submodule of
we have
Note
We have written as
to avoid cluttering up the notation.
Proof
For the first claim, map by
.
- The kernel of this map is
.
- The map is surjective since any
for
is just
.
Hence by the first isomorphism theorem, we get our result.
The second claim is similar: map via
, which is a well-defined homomorphism. Clearly the map is surjective; the kernel is just N/P; now apply the first isomorphism theorem. ♦

Correspondence of Submodules
Finally, for any submodule P of M, there is a bijective correspondence between
- submodules of M containing P, and
- submodules of M/P.
Specifically, if N satisfies in the first case, it corresponds to
in the second.

[Diagram: correspondence between submodules – arrows indicate inclusion.]
The correspondence respects:
- containment:
if and only if
;
- intersection:
;
- sum:
.
Tip: you can prove all these directly, or you can deduce the second and third properties from the first by noting: the intersection of submodules is the largest submodule contained in every
. A similar property exists for the sum.
Finally the case for product is tricky: even if N contains P, may not contain P. However,
does and we have:
Exercise. Prove this result.

Hom Module
For A-modules M and N, let be the set of all A-linear maps
.
Proposition 2.
is an A-module, under the following operations. For A-linear maps
and
, we have
,
Proof. Easy exercise. ♦
This generalizes the case of vector spaces, where the set of all linear maps of vector spaces, forms a vector space.
The Hom construction thus creates a new A-module out of two existing ones. We have:
Proposition 3.
Let
and
be A-linear maps of A-modules. These induce A-linear maps
Proof. Easy exercise. ♦
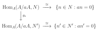
Example
Suppose for some
, considered as an A-module (not a ring!). Then
corresponds to the submodule
of N. Indeed any A-linear map
is determined by the image
. This can be any element
as long as
.
[We usually say n is annihilated by . This will be covered in greater detail later.]
E.g. if and
, then
picks out the 2-torsion subgroup of N.
Now if is an A-linear map, the above map
can be interpreted as follows:

where the composed map is simply g restricted to .
The upshot is: the process of taking the a-torsion elements of a module can be expressed by Hom. We write this process as , or simply
. All these can be formalized in the language of category theory.
